本文最后更新于 729 天前,其中的信息可能已经有所发展或是发生改变,请谨慎参考。
链表相交
原题链接: 160.链表相交
给你两个单链表的头节点
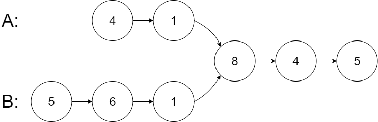
headA和headB,请你找出并返回两个单链表相交的起始节点。如果两个链表不存在相交节点,返回null。图示两个链表在节点
c1开始相交:注意,函数返回结果后,链表必须 保持其原始结构 。
自定义评测:
评测系统 的输入如下(你设计的程序 不适用 此输入):
intersectVal– 相交的起始节点的值。如果不存在相交节点,这一值为0listA– 第一个链表listB– 第二个链表skipA– 在listA中(从头节点开始)跳到交叉节点的节点数skipB– 在listB中(从头节点开始)跳到交叉节点的节点数评测系统将根据这些输入创建链式数据结构,并将两个头节点
headA和headB传递给你的程序。如果程序能够正确返回相交节点,那么你的解决方案将被 视作正确答案 。示例 1:
输入:intersectVal = 8, listA = [4,1,8,4,5], listB = [5,6,1,8,4,5], skipA = 2, skipB = 3
输出:Intersected at '8'
解释:相交节点的值为 8 (注意,如果两个链表相交则不能为 0)。
从各自的表头开始算起,链表 A 为 [4,1,8,4,5],链表 B 为 [5,6,1,8,4,5]。
在 A 中,相交节点前有 2 个节点;在 B 中,相交节点前有 3 个节点。
— 请注意相交节点的值不为 1,因为在链表 A 和链表 B 之中值为 1 的节点 (A 中第二个节点和 B 中第三个节点) 是不同的节点。换句话说,它们在内存中指向两个不同的位置,而链表 A 和链表 B 中值为 8 的节点 (A 中第三个节点,B 中第四个节点) 在内存中指向相同的位置。示例 2:
输入:intersectVal = 2, listA = [1,9,1,2,4], listB = [3,2,4], skipA = 3, skipB = 1
输出:Intersected at '2'
解释:相交节点的值为 2 (注意,如果两个链表相交则不能为 0)。
从各自的表头开始算起,链表 A 为 [1,9,1,2,4],链表 B 为 [3,2,4]。
在 A 中,相交节点前有 3 个节点;在 B 中,相交节点前有 1 个节点。示例 3:
输入:intersectVal = 0, listA = [2,6,4], listB = [1,5], skipA = 3, skipB = 2
输出:null
解释:从各自的表头开始算起,链表 A 为 [2,6,4],链表 B 为 [1,5]。
由于这两个链表不相交,所以 intersectVal 必须为 0,而 skipA 和 skipB 可以是任意值。
这两个链表不相交,因此返回 null 。提示:
listA中节点数目为mlistB中节点数目为n1 <= m, n <= 3 * 10^41 <= Node.val <= 10^50 <= skipA <= m0 <= skipB <= n- 如果
listA和listB没有交点,intersectVal为0- 如果
listA和listB有交点,intersectVal == listA[skipA] == listB[skipB]
- 题解:
解法一、
public ListNode getIntersectionNode(ListNode headA, ListNode headB) {
// 如果有一个链表为空,则直接返回null
if (headA == null || headB == null) {
return null;
}
// 初始化两个指针
ListNode pA = headA;
ListNode pB = headB;
// 初始化两个变量
int countA = 0;
int countB = 0;
// 遍历链表A
while (pA != null) {
countA++;
pA = pA.next;
}
// 遍历链表B
while (pB != null) {
countB++;
pB = pB.next;
}
// 重新初始化两个指针
pA = headA;
pB = headB;
// 计算两个链表的长度差
int diff = Math.abs(countA - countB);
// 如果链表A的长度大于链表B的长度
if (countA > countB) {
// 遍历链表A
for (int i = 0; i < diff; i++) {
pA = pA.next;
}
} else {
// 遍历链表B
for (int i = 0; i < diff; i++) {
pB = pB.next;
}
}
// 当两个指针不相等时,继续循环
while (pA != pB) {
pA = pA.next;
pB = pB.next;
}
// 返回pA或pB
return pA;
}
class ListNode {
int val;
ListNode next;
ListNode() {
}
ListNode(int val) {
this.val = val;
}
ListNode(int val, ListNode next) {
this.val = val;
this.next = next;
}
}
解法二、
// 链表相交
// 编写一个程序,找到两个单链表相交的起始节点。
// 如下面的两个链表:
// A: a1 → a2
// ↘
// c1 → c2 → c3
// ↗
// B: b1 → b2 → b3
// 在节点 c1 开始相交。
// 注意:
// 如果两个链表没有交点,返回 null。
// 在返回结果后,两个链表仍须保持原有的结构。
// 可假定整个链表结构中没有循环。
// 程序尽量满足 O(n) 时间复杂度,且仅用 O(1) 内存。
public ListNode getIntersectionNode(ListNode headA, ListNode headB) {
// 如果有一个链表为空,则直接返回null
if (headA == null || headB == null) {
return null;
}
// 初始化两个指针
ListNode pA = headA;
ListNode pB = headB;
// 当两个指针不相等时,继续循环
while (pA != pB) {
// 如果pA为空,则将pA指向headB
pA = pA == null ? headB : pA.next;
// 如果pB为空,则将pB指向headA
pB = pB == null ? headA : pB.next;
}
// 返回pA或pB
return pA;
}
class ListNode {
int val;
ListNode next;
ListNode() {
}
ListNode(int val) {
this.val = val;
}
ListNode(int val, ListNode next) {
this.val = val;
this.next = next;
}
}
解法二解题思路:
设「第一个公共节点」为
node,「链表headA」的节点数量为 a ,「链表headB」的节点数量为 b ,「两链表的公共尾部」的节点数量为 ccc ,则有:
- 头节点
headA到node前,共有 a−c 个节点;- 头节点
headB到node前,共有 b−c 个节点;考虑构建两个节点指针
A,B分别指向两链表头节点headA,headB,做如下操作:指针
A先遍历完链表headA,再开始遍历链表headB,当走到node时,共走步数为:a + (b - c)指针
B先遍历完链表headB,再开始遍历链表headA,当走到node时,共走步数为:b + (a - c)如下式所示,此时指针
A,B重合,并有两种情况:
a + (b - c) = b + (a - c)若两链表 有 公共尾部 (即 c > 0 ) :指针
A,B同时指向「第一个公共节点」node。 若两链表 无 公共尾部 (即 c = 0 ) :指针A,B同时指向 null 。 因此返回A即可。如下图所示,为 a = 5 , b = 3 , c = 2 示例的算法执行过程。












