本文最后更新于 733 天前,其中的信息可能已经有所发展或是发生改变,请谨慎参考。
反转链表
原题链接: 206. 反转链表
给你单链表的头节点
head,请你反转链表,并返回反转后的链表。示例 1:
输入:head = [1,2,3,4,5]
输出:[5,4,3,2,1]示例 2:
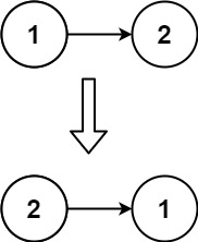
输入:head = [1,2]
输出:[2,1]示例 3:
输入:head = []
输出:[]提示:
- 链表中节点的数目范围是
[0, 5000]-5000 <= Node.val <= 5000
- 题解:
// 反转链表
class ListNode {
int val;
ListNode next;
ListNode() {}
ListNode(int val) { this.val = val; }
ListNode(int val, ListNode next) { this.val = val; this.next = next; }
}
public ListNode reverseList(ListNode head) {
// 初始化前一个节点为null
ListNode prev = null;
// 初始化当前节点为头节点
ListNode current = head;
// 当当前节点不为空时,继续循环
while (current != null) {
// 保存当前节点的下一个节点
ListNode nextTemp = current.next;
// 将当前节点的下一个节点指向前一个节点
current.next = prev;
// 前一个节点指向当前节点
prev = current;
// 当前节点指向下一个节点
current = nextTemp;
}
// 返回前一个节点
return prev;
}
首先初始化两个指针,一个指向前一个节点,一个指向当前节点。然后,它在一个循环中不断地将当前节点的下一个节点指向前一个节点,然后将前一个节点和当前节点向后移动,直到遍历完所有的节点。








